Đòn bẩy tài chính là gì? Cách sử dụng nó như thế nào để tối đa hóa lợi nhuận và giảm thiểu rủi ro? Đây là những câu hỏi quan trọng mà bất kỳ nhà đầu tư hay doanh nghiệp nào cũng cần hiểu rõ khi muốn tận dụng tối đa nguồn lực tài chính. Hãy cùng Dong Shop Sun tìm hiểu để sử dụng đòn bẩy tài chính một cách hiệu quả nhất.

mục lục
Đòn bẩy tài chính là gì?
Đòn bẩy tài chính (Financial Leverage) là việc kết hợp giữa vốn chủ sở hữu của doanh nghiệp và vốn vay từ ngân hàng hoặc các tổ chức tài chính khác. Nhằm mục đích tăng tỷ suất lợi nhuận cho doanh nghiệp một cách nhanh chóng.
Trong mỗi chiến lược kinh doanh, đòn bẩy tài chính thường được đề cập đến như một phương thức phổ biến để mở rộng vốn và phát triển bền vững. Việc sử dụng đòn bẩy tài chính một cách thông minh có thể mang lại hiệu quả cao và lợi nhuận đáng kể cho doanh nghiệp. Tuy nhiên, nếu lạm dụng nó cũng tiềm ẩn nhiều rủi ro. Thậm chí có thể dẫn đến suy giảm hoạt động kinh doanh.
Hệ số đòn bẩy tài chính phản ánh mối tương quan giữa vốn vay và vốn chủ sở hữu. Khi chỉ số này thấp, điều đó cho thấy doanh nghiệp có khả năng tự chủ tài chính cao. Ngược lại, nếu chỉ số này cao bất thường có thể là dấu hiệu cho thấy doanh nghiệp đang gặp khó khăn trong việc sử dụng đòn bẩy tài chính. Dẫn đến tình trạng tài chính bấp bênh cho doanh nghiệp của bạn.
Xem thêm: Khủng hoảng kinh tế là gì? Điều gì gây ra khủng hoảng kinh tế?
3 vai trò quan trọng của đòn bẩy tài chính

Mở rộng khả năng đầu tư: Đòn bẩy tài chính giúp cả nhà đầu tư cá nhân và doanh nghiệp mở rộng vốn đầu tư bằng cách vay thêm vốn. Điều này cho phép họ mở rộng phạm vi đầu tư và nắm bắt các cơ hội có lợi. Nhà đầu tư thường hy vọng rằng lợi nhuận thu được từ việc đầu tư sẽ đủ để trả nợ và mang lại lợi nhuận.
Giải quyết sự thiếu hụt vốn cho doanh nghiệp: Đối với doanh nghiệp, nó là một công cụ quan trọng để giải quyết tình trạng thiếu vốn trong quá trình hoạt động. Nó giúp doanh nghiệp duy trì và phát triển kinh doanh. Cũng như đáp ứng nhanh chóng các cơ hội trên thị trường, chẳng hạn khi nhu cầu tăng đột biến.
Tối ưu hóa chi phí thuế: Khi sử dụng đòn bẩy tài chính, lãi vay phải trả được tính vào chi phí tài chính của doanh nghiệp. Có nghĩa là chi phí tài chính có thể được khấu trừ khỏi thu nhập chịu thuế giúp doanh nghiệp giảm mức thuế phải đóng. Kết quả là doanh nghiệp có thể tăng lợi nhuận mà không phải chịu thêm nhiều thuế. Đồng thời duy trì sự linh hoạt tài chính để đáp ứng nhu cầu kinh doanh.
Áp dụng công thức tính đòn bẩy tài chính phổ biến
Các nhà đầu tư hoặc chủ doanh nghiệp có thể sử dụng công thức tính hệ số đòn bẩy tài chính như sau:

Trong đó:
- EBIT: là lợi nhuận trước thuế và lãi vay của doanh nghiệp.
- EPS: là lợi nhuận trên vốn chủ sở hữu của doanh nghiệp.
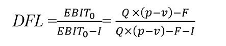
Khi có thêm yếu tố lãi vay phải trả (I), công thức để tính hệ số đòn bẩy tài chính sẽ được mở rộng như sau:

Trong đó:
- F: Chi phí cố định.
- v: Chi phí biến đổi dựa trên mỗi đơn vị sản phẩm.
- p: Giá của mỗi đơn vị sản phẩm bán ra.
- Q: Số lượng sản phẩm sản xuất.
- I: Lãi vay phải trả.
Ví dụ cụ thể
Anh C kinh doanh thời trang với tổng vốn là 100.000.000 VNĐ. Trong đó có 50.000.000 VNĐ là vốn chủ sở hữu và anh vay thêm 50.000.000 VNĐ với lãi suất 10%/năm.
Anh dự kiến trong năm tới sẽ bán được 10.000 sản phẩm với giá mỗi sản phẩm là 20.000 VNĐ. Chi phí biến đổi cho mỗi sản phẩm là 14.000 VNĐ và tổng chi phí cố định là 40.000.000 VNĐ.
Tính toán
- Lãi vay phải trả: I = 50.000.000 x 10% = 5.000.000 VNĐ
- Chi phí cố định: F = 40.000.000 VNĐ
- Chi phí biến đổi trên 1 đơn vị sản phẩm: v = 14.000 VNĐ
- Giá bán: p = 20.000 VNĐ
- Số lượng sản phẩm: Q = 10.000 sản phẩm
Vậy lợi nhuận trước thuế và lãi vay (EBIT) bằng:
EBIT = 10.000 x (20.000 – 14.000) – 40.000.000 = 20.000.000 VNĐ
Từ đó suy ra, mức độ tác động của đòn bẩy tài chính là:
DFL = 20.000.000 / (20.000.000 – 5.000.000) = 1,34%
Con số này có nghĩa là khi lợi nhuận tăng hoặc giảm 1%. Tỷ suất lợi nhuận dựa trên vốn chủ sở hữu sẽ tăng hoặc giảm 1,34%.
Các loại đòn bẩy tài chính phổ biến hiện nay

Sử dụng nguồn tiền từ các nguồn khác
- Vay vốn thông thường: Nhà đầu tư hoặc doanh nghiệp vay tiền từ cá nhân, ngân hàng hoặc công ty tài chính để đầu tư và trả lãi định kỳ. Doanh nghiệp có thể tận dụng lợi thế thuế từ lãi suất vay.
- Huy động vốn từ cổ đông: Thành lập công ty cổ phần và huy động vốn từ các cổ đông. Cho phép nhà sáng lập sử dụng vốn huy động để đầu tư mà vẫn giữ quyền quản lý.
Tận dụng ý tưởng của người khác
Loại đòn bẩy thứ hai mà nhiều doanh nghiệp sử dụng là tận dụng ý tưởng của người khác (OPI). Trong đầu tư, những ý tưởng cá nhân đôi khi không đủ mạnh để tạo ra thành công. Bằng cách khai thác ý tưởng từ nhiều cá nhân với các quan điểm đa dạng, doanh nghiệp có thể xây dựng kế hoạch đầu tư chi tiết và đạt hiệu quả cao. Điều này cũng có thể mang lại những ý tưởng mới lạ, sáng tạo, thúc đẩy sự phát triển của các dự án.
Tận dụng kinh nghiệm của người khác
Đòn bẩy thứ ba là tận dụng kinh nghiệm của người khác hay còn gọi là OPE. Một nhà đầu tư thông minh luôn biết cách học hỏi từ kinh nghiệm của bản thân và những nhà đầu tư dày dạn khác. Điều này giúp họ rút ra các bài học, nguyên tắc và bí quyết đầu tư tài chính thành công.
Sử dụng thời gian của người khác
Phương pháp đòn bẩy thứ tư là tận dụng triệt để thời gian của người khác được gọi là OPT. Doanh nghiệp có thể sử dụng thời gian của đội ngũ nhân sự để tạo ra tài sản nhanh hơn, lớn hơn và có giá trị hơn.
Thuê nhân lực làm việc thay
Đòn bẩy thứ năm là thuê người làm việc còn gọi là OPW. Bằng cách sử dụng công sức của người khác, chủ doanh nghiệp có thể đảm bảo hoạt động đầu tư của mình được thực hiện hiệu quả. Nếu quản lý tốt, họ có thể tạo ra một sức mạnh cộng hưởng. Và nó đạt được kết quả vượt xa mong đợi mà không cần phải bỏ ra quá nhiều công sức cá nhân.
Hướng dẫn cách sử dụng đòn bẩy tài chính hiệu quả

Đòn bẩy tài chính có thể khuếch đại cả lợi nhuận lẫn thua lỗ, khiến nhà đầu tư rất nhạy cảm với biến động giá cả. Vì vậy, nhà đầu tư cần có kiến thức và kinh nghiệm trong việc theo dõi và đánh giá thị trường.
Việc rèn luyện kỹ năng này nên đi kèm với khả năng quản trị rủi ro tốt. Nhằm tránh những tình huống mất kiểm soát khi giá cả chỉ dao động nhẹ nhưng bị đòn bẩy khuếch đại thành thua lỗ lớn.
Chỉ nên sử dụng đòn bẩy khi nhà đầu tư có sự tự tin về biến động thị trường theo dự đoán. Để có thể tận dụng tối đa lợi thế mà đòn bẩy tài chính mang lại.
Kết luận
Trên đây là những thông tin chi tiết về đòn bẩy tài chính mà Dong Shop Sun đã tổng hợp và chia sẻ tới các bạn. Hy vọng những thông tin này giúp các bạn hiểu rõ hơn về khái niệm và cách áp dụng công cụ này một cách hiệu quả cho doanh nghiệp của mình. Đừng quên theo dõi Dong Shop Sun để cập nhật những thông tin về tài chính hữu ích nhé!
Xem thêm: Cầm cavet xe giá cao, uy tín và lãi suất thấp ở đâu?